+38(091)6024187 +38(067)4214686 61091, Україна, м. Харків, вул. Стадіонний проїзд, буд. 14-А
| Размерный ряд моделей по длине |
| Последовательность соединения панелей |
| Принадлежности |
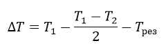
| Расчёт теплоотдачи |
| Гидравлическое подключение |
![]() | Условные обозначения: |

Дополнительные материалы по проектированию, монтажу и эксплуатации оборудования "ИНФРАПАНЕЛЬ" приведены в технической документации производителя.
Запросить технический каталог по водяным потолочным лучистым отопителям "ИНФРАПАНЕЛЬ" Вы можете, написав нам по адресу: office@infrapanel.com.ua
